ads/auto.txt

Sebuah Cermin Cekung Yang Berjari Jari 3m

Sebuah Benda Yang Tingginya 10 Cm Diletakkan Didepan Sebuah Cermin Cekung Tinggi Bayangan Yang Brainly Co Id

Sebuah Benda Yang Tingginya 10 Cm Diletakkan Didepan Sebuah Cermin Cekung Tinggi Bayangan Yang Brainly Co Id

Sebuah Benda Terletak 5 Cm Di Depan Sebuah Cermin Cekung Yang Berjari Jari 20 Cm Tentukan Mas Dayat

Sebuah Benda Terletak 5 Cm Di Depan Sebuah Cermin Cekung Yang Berjari Jari 20 Cm Tentukan Mas Dayat

Soal Soal Latihan Tentang Cermin Cekung Harianja Uniks

Soal Soal Latihan Tentang Cermin Cekung Harianja Uniks

Sebuah Cermin Cekung Mempunyai Jari Jari Kelengkungan 2 M Sebuah Benda Sejati Diletakkan Pada Jarak Brainly Co Id

Sebuah Cermin Cekung Mempunyai Jari Jari Kelengkungan 2 M Sebuah Benda Sejati Diletakkan Pada Jarak Brainly Co Id

Sebuah Cermin Cembung Memiliki Jari Jari Kelengkungan 16 Cm Jika Jarak Bayangan Ke Cermin 6 Cm Dan Tingginya 4 Cm Mas Dayat

Sebuah Cermin Cembung Memiliki Jari Jari Kelengkungan 16 Cm Jika Jarak Bayangan Ke Cermin 6 Cm Dan Tingginya 4 Cm Mas Dayat

Mofi Smp2

Mofi Smp2

Mofi Smp2

1 bayangan terletak 40 cm di depan cermin.

Sebuah cermin cekung yang berjari jari 3m. Bila jarak benda ke cermin 20 cm maka tentukanlah jarak bayangan perbesaran bayangan tinggi bayangan dan sifat bayangan. Sebuah paku sepanjang 3 cm terletak 40 cm di depan cermin cekung berjari jari 40 cm. Pada suatu saat 7 8 bagian dari jumlah zat itu telah meluruh. A jarak bayangan b perbesaran bayangan c tinggi bayangan d sifat bayangan.

Dalam soal diketahui bahwa r 100 cm maka f 50 cm dan s 80 cm. Sifat seperti ini disebut konvergen. 5 dua cermin cekung a dan b yang masing masing berjari jari 40 cm disusun saling berhadapan dengan sumbu utama dan pusat kelengkungannya berhimpit. Dari gambar diatas dapat kita ketahui bahwa sifat bayangan pada benda yang dihasilkan di atas ialah nyata terbalik dan dapat diperbesar.

Suatu zat radioaktif mempunyai waktu paruh 8 tahun. Pada cermin cekung permukaan yang memantulkan cahaya adalah permukaan bagian dalam. Sebuah benda sejati diletakkan pada jarak 2 meter dari cermin. Di depan cermin cekung berjari jari 30 cm terdapat sebuah benda dengan ketinggian 6 cm.

Sebuah cermin cekung mempunyai jari jari kelengkungan 3 meter. Sifat bayangan yang dibentuk pada cermin cekung tidak selalu seperti di atas selain itu sifat bayangan yang akan terbentuk pada cermin cekung tergantung pada letak posisi bendanya agar kita dapat mengetahui sifat bayangan yang terjadi pada cermin cekung. Berikut ini pengertian ruang sinar istimewa sifat bayangan manfaat rumus hingga contoh soal dari cermin cembung. Sebuah benda diletakkan 25 cm di depan cermin a.

Bayangan yang terbentuk adalah. Benda setinggi 6 cm berada di depan cermin cekung yang berjari jari 30 cm. Cermin cekung berjari jari 100 cm di depannya diletakkan benda berjarak 80 cm. Cermin cekung bersifat mengumpulkan sinar yang datang padanya.

Daftar jenis cermin berdasarkan bentuk permukaannya. Jika tinggi benda 5cm maka tinggi bayangan adalah. Jika panjang jari jari kelengkungan cermin cekung 12 tentukan. Tentukan a jarak bayangan benda yang dibentuk oleh cermin a b jarak bayangan benda yang dibentuk oleh cermin b c perbesaran bayangan total.

Tentukan jarak bayangan yang terbentuk lukis bayangan yang terbentuk dan sifat bayangan benda yang terbentuk. Bagian bagian pada cermin cekung dan keterangannya dapat kalian lihat pada gambar berikut ini. Jenis cermin berdasarkan bentuk permukaannya terbagi menjadi 3 salah satunya yaitu cermin cembung. S 60 cm.

Jika diketahui jarak dari cermin ke benda sejuah 20 cm. Cermin cekung sebenarnya merupakan bagian bola berongga. 1 f 1 s 1 s 1 15 1 20 1 s 1 s 1 15 1 20. Sebuah benda yang tingginya 4 cm berada 8 cm di depan sebuah cermin cekung.

Benda Setinggi 6cm Berada Di Depan Cermin Cekung Yang Berjari Jari 30cm Bila Jarak Benda Ke Brainly Co Id

Benda Setinggi 6cm Berada Di Depan Cermin Cekung Yang Berjari Jari 30cm Bila Jarak Benda Ke Brainly Co Id

Benda X Berada Di Depan Cermin Cekung Dengan Jari Jari Kelengkungan 0 2m Jika Bayangan Terbentuk Brainly Co Id

Benda X Berada Di Depan Cermin Cekung Dengan Jari Jari Kelengkungan 0 2m Jika Bayangan Terbentuk Brainly Co Id

Bab 8 Optika Geometris Fisika Kelas X Marthen Kanginan Erlangga Kurtilas Solusiwiki

Bab 8 Optika Geometris Fisika Kelas X Marthen Kanginan Erlangga Kurtilas Solusiwiki

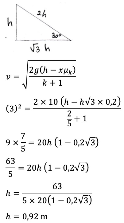
Sebuah Bola Pejal Dengan Jari Jari R Dan Massa M Didorong Dengan Kecepatan Awal Sebesar 3 M S Mas Dayat

Sebuah Bola Pejal Dengan Jari Jari R Dan Massa M Didorong Dengan Kecepatan Awal Sebesar 3 M S Mas Dayat

Sebuah Cermin Cembung Ditempatkan Di Tikungan Jalan Ketika Terdapat Benda Yg Jaraknya 2 Meter Dari Brainly Co Id

Sebuah Cermin Cembung Ditempatkan Di Tikungan Jalan Ketika Terdapat Benda Yg Jaraknya 2 Meter Dari Brainly Co Id

Soal Optik Ragil M Y

Soal Optik Ragil M Y

Un Fisika 2000

Un Fisika 2000

1 Besaran Berikut Ini Yang Dimensinya Sama Dengan Momentum B Impuls C Daya D Energi E Gaya Kunci E Penyelesaian Dan Sepatu Pemain Menyentuh Bola Selama 0 3 Pdf Document

1 Besaran Berikut Ini Yang Dimensinya Sama Dengan Momentum B Impuls C Daya D Energi E Gaya Kunci E Penyelesaian Dan Sepatu Pemain Menyentuh Bola Selama 0 3 Pdf Document

Sebuah Lensa Cembung Memiliki Jari Jari 100 Cm Sebuah Benda Diletakkan Sejauh 75 Cm Didepan Brainly Co Id

Sebuah Lensa Cembung Memiliki Jari Jari 100 Cm Sebuah Benda Diletakkan Sejauh 75 Cm Didepan Brainly Co Id

Seekor Semut Bergerak Lurus Beraturan Dari Timur Ke Barat Sejauh 4m Selama 5 Menit Kemudian Brainly Co Id

Seekor Semut Bergerak Lurus Beraturan Dari Timur Ke Barat Sejauh 4m Selama 5 Menit Kemudian Brainly Co Id

Benda Setinggi 3 Cm Diletakkan Pada Jarak 10 Cm Di Depan Cermin Cekung Yang Berjari Jari Brainly Co Id

Benda Setinggi 3 Cm Diletakkan Pada Jarak 10 Cm Di Depan Cermin Cekung Yang Berjari Jari Brainly Co Id

1 Besaran Berikut Ini Yang Dimensinya Sama Dengan Dimensi

1 Besaran Berikut Ini Yang Dimensinya Sama Dengan Dimensi

Aqila Toko Online

Aqila Toko Online

Sebuah Bayangan Terjadi Pada Jarak 12 Cm Di Depan Cermin Cekung Yang Berjari Jari 16 Cm Tentukan Brainly Co Id

Sebuah Bayangan Terjadi Pada Jarak 12 Cm Di Depan Cermin Cekung Yang Berjari Jari 16 Cm Tentukan Brainly Co Id

Source : pinterest.com